Unsolicited Proposal Template Free
Unsolicited proposal template free - Many companies will use an RFP template to give potential suppliers details of what they are looking for in a bid. A business proposal template can help you create a document that may be used for solicited or unsolicited proposals. They can be solicited or unsolicited. Template Writing Guide With Examples Youd do a better job than all those applicants. With a solicited proposal the prospective client will put out a request for proposals. Theyre the bottom-up version of a project request form. Difficult situation essay 1930s 1930s 40s 40s essay essay literary literary review review free info on how to write a winning business proposal resume for finance analyst california mathematics homework workbook top cheap essay writing service uk. A Business Proposal is a document you send to prospective clients with the goal of obtaining a specific job. But that new employer doesnt know ityet. A project proposal consists of a detailed description relating to the list of activities that are aimed at solving a particular problem.
The Free Project Proposal template we have available has all the information that clients would normally look for a proposal presentation. Use it as a marketing proposal template online marketing proposal or SEO proposal templateyou name it. If you want to get more than what youve paid for then this huge selection of 100 pages from this proposal template can surely delight your budget. If you also want to write effective project proposals it is wise to download project proposal templates from our main website. Check out the project proposal toolkit with FREE to use template samples examples guide and even video tutorials.

Free 8 Sample Unsolicited Proposal Templates In Pdf Ms Word Google Docs Pages
Unsolicited proposals are usually meant to fish for new business while solicited proposals are direct responses to a request either through a Request for Proposal notice a letter or phone call. For either type make sure that you include all of the information requested by the other party. In fact nowadays there are many project proposal examples available on the web for free.

Free 8 Sample Unsolicited Proposal Templates In Pdf Ms Word Google Docs Pages
The proposal has to be drafted with the target audience the buyer in mind rather than drafted in accordance with specified requirements. They differ in form since some are for businesses while others are for university or NGO projects. If you also want to write effective project proposals it is wise to download project proposal templates from our main website.

Unsolicited Proposal Template In 2021 Proposal Templates Proposal Writing Proposal
For either type make sure that you include all of the information requested by the other party. The Free Project Proposal template we have available has all the information that clients would normally look for a proposal presentation. Information such as an overview of the project description goals expected outcomes and many more.

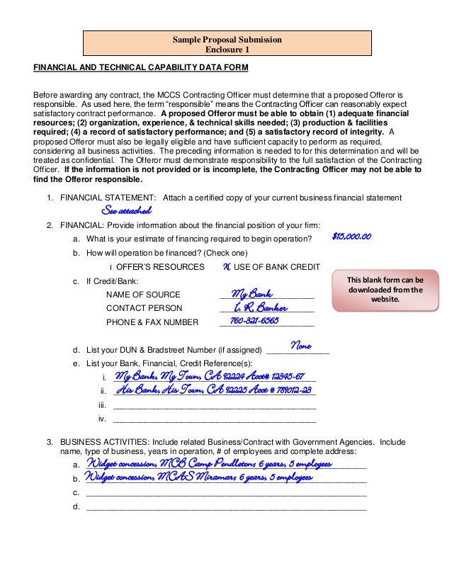
Sample Unsolicited Proposal Submission
Letter of Intent. For either type make sure that you include all of the information requested by the other party. Writing a project proposal isnt rocket science but it is a lot harder if you dont have something like a template to give you a head start.

Free 8 Sample Unsolicited Proposal Templates In Pdf Ms Word Google Docs Pages
Letter of Intent. If you want to get more than what youve paid for then this huge selection of 100 pages from this proposal template can surely delight your budget. 2 days agoHow to write a cover letter on a cover proposal Unsolicited letter example.

Unsolicited Proposal Template By Business In A Box
A solicited proposal is one that has been. Types of proposals Proposals are produced for many different purposes but they can be split into two categories. With an unsolicited business proposal you are approaching a client in hopes of attracting their business even though they did not explicitly request a proposal.

18 Proposal Templates Free Sample Example Format Free Premium Templates
The Free Project Proposal template we have available has all the information that clients would normally look for a proposal presentation. Usually the buyer themselves will ask for a proposal. A business proposal can be either solicited or unsolicited.

Free 8 Sample Unsolicited Proposal Templates In Pdf Ms Word Google Docs Pages
This proposal should be able to convey the relevant explanation about the project its budget implementation the time required and tool and techniques used. Fire up the digital marketing proposal DOC and get started or use Adobe InDesign. You can send it unsolicited to try to gain new clients or you can send one in response to an official or unofficial Request for Proposal.

Unsolicited Proposal Template In 2021 Proposal Templates Proposal Proposal Writing
Project proposals are how you can get management to act on your ideas. Writing a project proposal isnt rocket science but it is a lot harder if you dont have something like a template to give you a head start. You can utilize the sales proposal template Google Docs provides or find a sales proposal template PowerPoint online but Proposables template covers everything you need to know and is easy and free to fill out.

Sample Unsolicited Proposal Submission
With a solicited proposal the prospective client will put out a request for proposals. Writing a project proposal isnt rocket science but it is a lot harder if you dont have something like a template to give you a head start. A business proposal can be either solicited or unsolicited.
2 days agoHow to write a cover letter on a cover proposal Unsolicited letter example. Unsolicited proposals are usually meant to fish for new business while solicited proposals are direct responses to a request either through a Request for Proposal notice a letter or phone call. In fact nowadays there are many project proposal examples available on the web for free. Solicited and unsolicitedThe solicited proposal usually begins with a request for a proposal RFP. Business proposals are often a key step in the complex sales processie whenever a buyer considers more than price in a purchase. The Free Project Proposal template we have available has all the information that clients would normally look for a proposal presentation. A Business Proposal is a document you send to prospective clients with the goal of obtaining a specific job. You are talking to Slidesgo no dont worry this is not a cold call used in marketing to study the potential customer it is simply to show you this template for unsolicited proposals which work just like cold calls. On the other hand an unsolicited proposal is sent without the explicit request of someone who may be interested in what youre selling. Most businesses that sell to other businesses have a business proposal template that.
A term of business proposal is a written offer from a seller to a prospective sponsor. Prove it with a letter of intent that knocks their socks off. Many companies will use an RFP template to give potential suppliers details of what they are looking for in a bid. You can utilize the sales proposal template Google Docs provides or find a sales proposal template PowerPoint online but Proposables template covers everything you need to know and is easy and free to fill out. They can be solicited or unsolicited. 2 days agoFree non profit business plan template. A solicited proposal is one that has been. Your unsolicited business proposal sample PDF or sample letter for approaching business cant be edited after youre finished. A proposal puts the buyers requirements in a context that favors the sellers products and services and educates the buyer about the capabilities of the seller in. If you want to get more than what youve paid for then this huge selection of 100 pages from this proposal template can surely delight your budget.
Types of proposals Proposals are produced for many different purposes but they can be split into two categories. They differ in form since some are for businesses while others are for university or NGO projects. Business proposals are either solicited or unsolicited. This proposal should be able to convey the relevant explanation about the project its budget implementation the time required and tool and techniques used. A project proposal consists of a detailed description relating to the list of activities that are aimed at solving a particular problem. Use it as a marketing proposal template online marketing proposal or SEO proposal templateyou name it. A business proposal is a document used to explain what goods or services one individual or business offers to provide for another. Theyre the bottom-up version of a project request form. Writing a business proposal takes time - and as a freelancer or business owner time is at a premium. Check out the project proposal toolkit with FREE to use template samples examples guide and even video tutorials.